contoh soal biologi kelas 11 semester 2 Contoh soal biologi semester 2 kelas 10

Selamat datang diwebsite kami, jikan anda sedang mencari bank soal tentang Soal & Jawaban PAT Biologi kelas 11 SMA Tahun 2021 - Info Pendidikan maka anda berada dihalaman yang tepat. Di saat Anda sedang mengakhiri soal yang ruwet, karena itu pasti Anda dapat cari contoh soal di internet karenanya amat ringan dijawab jika ada jawabnya. Dalam session pelacakan itu , Guru Anda akan membuat sejumlah soal yang mereka akan utarakan. Mungkin ada beberapa soal yang di kemukakan untuk Anda dalam soal yang sedikit ruwet itu. Ada sejumlah pertanyaan bisa Anda jawab secara gampang. Tapi, juga ada peluang beberapa pertanyaan yang Anda mengaku jika Anda tak mempunyai jawabnya atau mungkin tidak pengin menjawab. Tersebut pertanyaan yang Anda takuti. Soal itu dapat berkaitan dengan beberapa fitur dalam launching produk yang baru, waktu acara Ujian seperti UN, UAS serta Test PNS, atau soal yang lain pada sejumlah acara yang wajar dikabarkan belakangan ini yang disebut tema yang hangat secara pengajaran. Pada keadaan semacam ini memberinya jawaban yang terang dan langsung kemungkinan memberikan kerugian Anda dalam banyak hal . Maka pertanyaan sebetulnya yakni bagaimana Anda bisa menyikapi yang bisa mengawasi Untuk Menjawab soal yang sudah diberikan oleh tenaga pendidikan. reliabilitas Anda serta mengesankan penanya. Kami Mempunyai Informasi tentang gambar soal 18.Pictures about Soal & Jawaban PAT Biologi kelas 11 SMA Tahun 2021 - Info Pendidikan like Soal Uts Biologi Kelas 11 Semester 1 - Guru Paud, Buku Paket Pjok Kelas 11 - Soal Terpadu and also Contoh Soal Ekonomi Kelas 11 SMA/MA 2021 dan Kunci Jawabannya. lihat infornya disini:

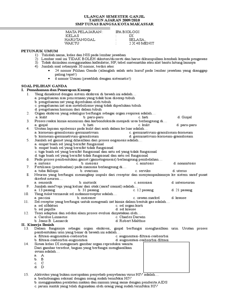
Soal & Jawaban PAT Biologi Kelas 11 SMA Tahun 2021 - Info Pendidikan

Soal & Jawaban PAT Biologi kelas 11 SMA Tahun 2021 - Info Pendidikan www.guru-id.com

jawaban biologi

Contoh Soal Biologi Semester 2 Kelas 10 - Soal Kelasmu

Contoh Soal Biologi Semester 2 Kelas 10 - Soal Kelasmu soal-kelasmu.blogspot.com

50 Soal Dan Jawaban Biologi Semester 1 Kelas 10 Ukbm - Belajar Jawaban

50 Soal Dan Jawaban Biologi Semester 1 Kelas 10 Ukbm - Belajar Jawaban belajarjawaban.blogspot.com

biologi jawaban pembahasan

Contoh Soal Dan Kunci Jawaban Biologi Smp - Dunia Sekolah ID

Contoh Soal Dan Kunci Jawaban Biologi Smp - Dunia Sekolah ID www.ilmusoal.com

penilaian sikap instrumen pengetahuan kelas jawaban kisi ketrampilan biologi proyek keterampilan manajemen sosial buku inggris k13 pembagian mengajar tugas

Latihan Soal Biologi Semester 1 Kelas 12 SMA/MA (2) - Kumpulan Uji

Latihan Soal Biologi Semester 1 Kelas 12 SMA/MA (2) - Kumpulan Uji kumpulanujikompetensi.blogspot.com

biologi salah pilihlah tepat jawaban

Contoh Soal Ekonomi Kelas 11 SMA/MA 2021 Dan Kunci Jawabannya

Contoh Soal Ekonomi Kelas 11 SMA/MA 2021 dan Kunci Jawabannya majalahpendidikan.com

soal

Buku Paket Pjok Kelas 11 - Soal Terpadu

Buku Paket Pjok Kelas 11 - Soal Terpadu soalterpadudoc.blogspot.com

buku pjok paket siswa semester

Latihan Soal UAS Biologi Kelas 10 Semester 1.pdf

Latihan Soal UAS Biologi Kelas 10 Semester 1.pdf www.scribd.com

biologi uas genap latihan jawaban kumpulan

Soal Uts Biologi Kelas 11 Semester 1 - Guru Paud

Soal Uts Biologi Kelas 11 Semester 1 - Guru Paud www.gurupaud.my.id

soal biologi ganda pilihan gerak jawaban struktur uts sma fungsi hots surat jaringan kunci beserta matriks tumbuhan kehidupan scribdassets pernapasan

Kumpulan Soal Biologi Kelas Xi Sistem Koordinasi - Belajar Saja

Kumpulan Soal Biologi Kelas Xi Sistem Koordinasi - Belajar Saja belajarsajadoc.blogspot.com

biologi kelas xi koordinasi ulangan

Latihan Soal Biologi Kelas 10 Semester 1 Pilihan Ganda Dan Essay

Latihan Soal Biologi Kelas 10 Semester 1 Pilihan Ganda dan Essay www.gurudadakan.com

biologi jawabannya beserta ganda pilihan latihan

Latihan Soal Biologi Semester 2 Kelas 10 SMA/MA (1) - Kumpulan Uji

Latihan Soal Biologi Semester 2 Kelas 10 SMA/MA (1) - Kumpulan Uji kumpulanujikompetensi.blogspot.com

biologi latihan bagan ditunjukan fase perhatikan

Soal Biologi Kelas 9 Semester 1 Dan Kunci Jawaban - Bacaan Siswa

Soal Biologi Kelas 9 Semester 1 Dan Kunci Jawaban - Bacaan Siswa bacaansiswaku.blogspot.com

biologi kunci ix

Nisn Paud 2019 - Kunci Soal

Nisn Paud 2019 - Kunci Soal www.kuncisoal.net

nisn paud cetak

Buku Smalb Tunagrahita Kelas 12 | Soal Revisi

Buku Smalb Tunagrahita Kelas 12 | Soal Revisi www.soalrevisi.com

ekonomi kurikulum xii peminatan revisi widya yrama pem kls paket matematika tunagrahita smalb siswa cetak jawaban

Materi Pelajaran Ipa Kelas 1 Sd Semester 2 - Cara Mengajarku

Materi Pelajaran Ipa Kelas 1 Sd Semester 2 - Cara Mengajarku berbagimengajar.blogspot.com

kelas pelajaran semester

Contoh Soal Biologi Kelas 11 Semester 1 Kurikulum 2013 - Guru Paud

Contoh Soal Biologi Kelas 11 Semester 1 Kurikulum 2013 - Guru Paud www.gurupaud.my.id

semester biologi kurikulum uts

Contoh Soal Biologi Kelas 8 Semester 2 - Contoh Soal Terbaru

Contoh Soal Biologi Kelas 8 Semester 2 - Contoh Soal Terbaru barucontohsoal.blogspot.com

biologi akhir ulangan kartu pelajaran

Cari refrensi contoh soal dan artikel betul-betul lah sulit. namun Kami usaha menyiapkan Contoh Soal Biologi Kelas 8 Semester 2 - Contoh Soal Terbaru biar anda lebih puas.

Sesudah itu, latihanlah menyikapi pertanyaan serta bab yang sudah disajikan. Anda bahkan kemungkin mau download gambar masalah yang udah kami suguhkan. Jika anda suka sama masalah yang lain dapat anda mencari dikolom penelusuran. Paling akhir, apabila anda sedang dalam periode sesi evaluasi karenanya saya rekomendasikan buat belajar lebih giat supaya cita-cita anda terwujud. Salam istimewa mengagumkan. Sehabis Anda telah mengetahui contoh serta gambar bab di atas, jadi saya jamin anda siap untuk model pertanyaan ini yang udah dikasihkan oleh guru, jadi Anda bisa membela ketenangan dan reliabilitas dalam menjawab masalah yang ada. .

Soal biologi kelas 9 semester 1 dan kunci jawaban. Soal & jawaban pat biologi kelas 11 sma tahun 2021. Biologi uas genap latihan jawaban kumpulan