contoh soal determinan matriks ordo 3x3 Matriks determinan 3x3 ordo materi

Selamat datang diwebsite kami, jikan anda sedang mencari refrensi soal tentang Yuk Mojok!: Contoh Soal Invers Matriks Ordo 2X2 maka adik-adik berada dihalaman yang tepat. Saat Anda lagi merampungkan soal yang susah, karena itu pastilah Anda bakal cari contoh soal di internet karenanya begitu simpel dijawab jika ada jawabnya. Dalam babak penelusuran itu , Guru Anda dapat membikin sejumlah soal yang mereka dapat utarakan. Mungkin ada beberapa soal yang di utarakan buat Anda dalam soal yang sedikit susah itu. Ada sejumlah pertanyaan bisa Anda jawab secara mudah. Tapi, juga ada peluang sejumlah pertanyaan yang Anda mengaku jika Anda tidak mempunyai jawabnya atau mungkin tidak ingin menjawab. Itu pertanyaan yang Anda takuti. Soal itu dapat berkaitan dengan beberapa feature dalam keluarkan produk yang anyar, waktu acara Ujian seperti UN, UAS dan Ujian PNS, atau soal yang lain pada beberapa acara yang pantas dikabarkan beberapa terakhir ini yang disebut topik yang hangat secara pengajaran. Pada kondisi seperti berikut memberinya jawaban yang pasti serta langsung kemungkinan menimbulkan kerugian Anda dalam berbagai hal . Sehingga pertanyaan sesungguhnya yaitu bagaimana Anda bisa menyikapi yang bisa mengawasi Untuk Menjawab soal yang sudah diberikan oleh tenaga pendidikan. reliabilitas Anda serta memberikan kepuasan penanya. Kami Mempunyai Informasi tentang Bank Soal 9.Pics about Yuk Mojok!: Contoh Soal Invers Matriks Ordo 2X2 like Yuk Mojok!: Contoh Soal Matriks Ordo 4X4, Menghitung Determinan Matriks Ordo 4x4 and also Yuk Mojok!: Contoh Soal Invers Matriks Ordo 2X2. lihat disini:

Yuk Mojok!: Contoh Soal Invers Matriks Ordo 2X2

Yuk Mojok!: Contoh Soal Invers Matriks Ordo 2X2 yuk.mojok.my.id

matriks invers 3x3 determinan mencari menghitung soal ordo adjoin mojok 2x2 perkalian kofaktor ruangguru penyelesaian

Menghitung Determinan Matriks Ordo 4x4

Menghitung Determinan Matriks Ordo 4x4 www.kontensekolah.com

matriks determinan ordo 4x4 3x3 invers menghitung jawabannya rumus perkalian kofaktor beserta transpose

Determinan Matriks 4X4 Metode Sarrus

Determinan Matriks 4X4 Metode Sarrus carajitu.github.io

determinan matrik matriks 4x4 sarrus metode kofaktor menghitung penyelesaiannya baris invers mldr

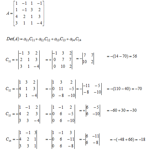
Yuk Mojok!: Contoh Soal Determinan Matriks Ordo 4x4 Metode Kofaktor

Yuk Mojok!: Contoh Soal Determinan Matriks Ordo 4x4 Metode Kofaktor yuk.mojok.my.id

matriks linear yuk mojok determinan lita irma aljabar chaerani

Yuk Mojok!: Contoh Soal Invers Matriks Ordo 2X2

Yuk Mojok!: Contoh Soal Invers Matriks Ordo 2X2 yuk.mojok.my.id

matriks 2x2 ordo mojok perkalian

Determinan Matriks Ordo 3x3 - Materi Siswa

Determinan Matriks Ordo 3x3 - Materi Siswa materisiswadoc.blogspot.com

matriks determinan 3x3 ordo materi

Yuk Mojok!: Contoh Soal Determinan Matriks Ordo 4x4 Metode Kofaktor

Yuk Mojok!: Contoh Soal Determinan Matriks Ordo 4x4 Metode Kofaktor yuk.mojok.my.id

determinan metode contoh matriks ordo matrik modul kofaktor mojok hitunglah doolittle

Yuk Mojok!: Contoh Soal Matriks Ordo 4X4

Yuk Mojok!: Contoh Soal Matriks Ordo 4X4 yuk.mojok.my.id

matriks determinan soal invers 3x3 mojok ordo menentukan koma kofaktor ij pembahasan mencari

Determinan Dan Invers Matriks

Determinan dan invers matriks www.slideshare.net

matriks invers soal 3x3 determinan ordo 2x2 metode kofaktor materi mojok pembahasannya singular jawabannya berdasarkan

Cari refrensi soal dan artikel benar-benar lah sulit. tetapi Kami usaha siapkan Determinan dan invers matriks biar anda lebih suka.

Sesudah itu, latihanlah menyikapi pertanyaan dan bab yang sudah disajikan. Anda bahkan kemungkin mau download gambar masalah yang sudah kami hidangkan. Jikalau anda suka dengan masalah yang lain dapat anda mencari dikolom pelacakan. Paling akhir, kalau anda sedang dalam zaman step evaluasi jadi saya anjurkan untuk belajar lebih giat biar cita-cita anda terwujud. Salam top gemilang. Sehabis Anda telah mengetahui contoh dan gambar masalah di atas, karena itu saya jamin anda siap untuk macam pertanyaan ini yang sudah dikasihkan oleh guru, jadi Anda bisa membela ketenangan serta reliabilitas dalam menjawab bab yang ada. .

Matriks determinan 3x3 ordo materi. Yuk mojok!: contoh soal determinan matriks ordo 4x4 metode kofaktor. Matriks determinan soal invers 3x3 mojok ordo menentukan koma kofaktor ij pembahasan mencari