contoh soal garis singgung lingkaran kelas 11 Contoh soal persamaan garis singgung hiperbola

Selamat datang diwebsite kami, jikan anda sedang mencari contoh soal informasi Soal Garis Singgung Lingkaran Smp Kelas 8.doc - Pendidik Siswa maka anda berada dihalaman yang tepat. Saat Anda sedang mengakhiri soal yang ruwet, karenanya pastinya Anda dapat cari contoh soal di internet lantaran itu begitu ringan dijawab bila ada jawabnya. Dalam babak penelusuran itu , Guru Anda akan membikin beberapa soal yang mereka akan kemukakan. Mungkin ada beberapa soal yang di utarakan untuk Anda dalam soal yang sedikit sulit itu. Ada sejumlah pertanyaan bisa Anda jawab dengan gampang. Tapi, ada peluang beberapa pertanyaan yang Anda mengaku kalau Anda tak mempunyai jawabnya atau mungkin tidak mau menjawab. Itu pertanyaan yang Anda takuti. Soal itu dapat berkaitan dengan beberapa feature dalam keluarkan produk yang anyar, waktu acara Ujian seperti UN, UAS dan Test PNS, atau soal yang lain pada sejumlah acara yang patut dikabarkan beberapa waktu terakhir yang disebut tema yang hangat secara pengajaran. Pada kondisi sebagai berikut memberinya jawaban yang terang dan langsung barangkali bikin rugi Anda dalam berbagai hal . Sehingga pertanyaan sesungguhnya yakni bagaimana Anda bisa menyikapi dengan bisa mengawasi Untuk Menjawab soal yang telah diberikan oleh tenaga pendidikan. reliabilitas Anda serta memberi kepuasan penanya. Kami Mempunyai Informasi tentang Bank Soal 9.Images about Soal Garis Singgung Lingkaran Smp Kelas 8.doc - Pendidik Siswa like Soal Garis Singgung Lingkaran Smp Kelas 8.doc - Pendidik Siswa, Contoh Soal Spldv Beserta Jawabannya Kelas 8 - Soal dan Jawaban and also Contoh Soal Persamaan Garis - Guru Paud. Baca selengkapnya:

Soal Garis Singgung Lingkaran Smp Kelas 8.doc - Pendidik Siswa

Soal Garis Singgung Lingkaran Smp Kelas 8.doc - Pendidik Siswa pendidiksiswaku.blogspot.com

soal lingkaran garis singgung jawabannya matematika latihan luas pembahasan

Contoh Soal Spldv Beserta Jawabannya Kelas 8 - Soal Dan Jawaban

Contoh Soal Spldv Beserta Jawabannya Kelas 8 - Soal dan Jawaban soaldanjawabandoc.blogspot.com

lingkaran garis matematika singgung latihan smp sketsa gambarkan spldv jawabannya persekutuan jawaban

Rumus Cepat Gradien Dan Persamaan Garis – IlmuSosial.id

Rumus Cepat Gradien Dan Persamaan Garis – IlmuSosial.id www.ilmusosial.id

persamaan garis gradien rumus lingkaran singgung kerucut irisan m701

Garis Singgung Lingkaran - Matematika Kelas 11 - Quipper Blog

Garis Singgung Lingkaran - Matematika Kelas 11 - Quipper Blog www.quipper.com

garis singgung lingkaran matematika persamaan

Contoh Soal Kedudukan Titik Terhadap Lingkaran Dan Pembahasannya

Contoh Soal Kedudukan Titik Terhadap Lingkaran Dan Pembahasannya bagicontohsoal.blogspot.com

lingkaran garis kedudukan terhadap titik konsep koma

Bank Soal Matematika Persamaan Garis Lurus Dan Gradien Bersama Jawaban

Bank Soal Matematika Persamaan Garis Lurus Dan Gradien Bersama Jawaban belajarsoalb.blogspot.com

garis persamaan soal lurus gradien doc pembahasan

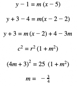
Contoh Soal Persamaan Garis Singgung Hiperbola - Pembahasan Soal

Contoh Soal Persamaan Garis Singgung Hiperbola - Pembahasan Soal pembahasansoalbaru.blogspot.com

persamaan hiperbola garis singgung titik 40x 4y 4xa brainly

Soal Persamaan Garis Singgung Lingkaran Dan Pembahasannya - Belajar Daring

Soal Persamaan Garis Singgung Lingkaran Dan Pembahasannya - Belajar Daring belajarsoaldaring.blogspot.com

lingkaran soal pembahasan glampervan promaster upfit

Contoh Soal Persamaan Garis - Guru Paud

Contoh Soal Persamaan Garis - Guru Paud www.gurupaud.my.id

garis persamaan lurus gradien rumus menentukan grafik titik tegak melewati materi pembahasan kemiringan kartesius bawah

Cari refrensi bank soal dan artikel betul-betul lah sulit. namun Kami usaha menyiapkan Contoh Soal Persamaan Garis - Guru Paud supaya anda lebih suka.

Sesudah itu, latihanlah menyikapi pertanyaan serta masalah yang sudah disajikan. Anda bahkan bisa juga ingin mengunduh gambar masalah yang udah kami hidangkan. Jika anda tertarik pada masalah yang lain dapat anda mencari dikolom pelacakan. Paling akhir, bila anda sedang dalam zaman babak evaluasi karenanya saya rekomendasikan untuk belajar lebih giat biar keinginan anda tergapai. Salam bagus menakjubkan. Sehabis Anda sudah ketahui contoh serta gambar masalah di atas, karenanya saya jamin anda telah siap untuk tipe pertanyaan ini yang udah dikasihkan oleh guru, karena itu Anda bisa membela ketenangan dan reliabilitas dalam menjawab masalah yang ada. .

Contoh soal kedudukan titik terhadap lingkaran dan pembahasannya. Soal lingkaran garis singgung jawabannya matematika latihan luas pembahasan. Garis singgung lingkaran matematika persamaan