contoh soal gerak parabola dan penyelesaiannya Soal kuadrat persamaan pembahasan matematika simak seru akar penerapan latihan jawabannya utbk hots pertidaksamaan jawaban sbmptn matriks pangkat

Selamat datang diwebsite kami, jikan anda sedang mencari bank soal informasi Rangkuman Fluida Dinamis, Contoh Soal & Pembahasan maka adik-adik berada dihalaman yang tepat. Saat Anda tengah mengakhiri soal yang sulit, jadi pastilah Anda dapat cari contoh soal di internet sebab itu sangatlah ringan dijawab jikalau ada jawabnya. Dalam babak pelacakan itu , Guru Anda bakal membuat beberapa soal yang mereka bakal kemukakan. Mungkin ada beberapa soal yang di kemukakan untuk Anda dalam soal yang sedikit sulit itu. Ada sekian banyak pertanyaan bisa Anda jawab secara gampang. Akan tetapi, ada peluang sejumlah pertanyaan yang Anda mengaku jika Anda tidak punya jawabnya atau mungkin tidak mau menjawab. Itu dia pertanyaan yang Anda takuti. Soal itu dapat berkaitan dengan beberapa feature dalam luncurkan produk yang baru, waktu acara Ujian seperti UN, UAS dan Ujian PNS, atau soal yang lain di sejumlah acara yang pantas dikabarkan beberapa terakhir ini yang disebut tema yang hangat secara pengajaran. Pada keadaan seperti berikut berikan jawaban yang terang serta langsung barangkali bikin rugi Anda dalam berbagai hal . Sehingga pertanyaan sesungguhnya ialah bagaimana Anda bisa menyikapi dengan bisa mengontrol Untuk Menjawab soal yang sudah diberikan oleh tenaga pendidikan. integritas Anda dan memberi kepuasan penanya. Kami Mempunyai Informasi tentang Bank Soal 17.Pics about Rangkuman Fluida Dinamis, Contoh Soal & Pembahasan like Contoh soal menentukan ketinggian maksimum gerak parabola - Gurumuda.Net, Contoh Soal dan Pembahasan Gerak Parabola - Jendela Ilmu and also Contoh soal menentukan ketinggian maksimum gerak parabola - Gurumuda.Net. Baca:

Rangkuman Fluida Dinamis, Contoh Soal & Pembahasan

Rangkuman Fluida Dinamis, Contoh Soal & Pembahasan tanya-tanya.com

fluida dinamis pembahasan contoh

Soal Persamaan Kuadrat Sederhana

Soal Persamaan Kuadrat Sederhana www.contohsoalku.co

soal kuadrat persamaan pembahasan matematika simak seru akar penerapan latihan jawabannya utbk hots pertidaksamaan jawaban sbmptn matriks pangkat

Yuk Mojok!: Contoh Soal Kecepatan Relatif

Yuk Mojok!: Contoh Soal Kecepatan Relatif yuk.mojok.my.id

kinematika dimensi yuk mojok

Soal Sbmptn Glb Dan Glbb

Soal Sbmptn Glb Dan Glbb latihansoalyuk.blogspot.com

gerak lurus glb penyelesaian glbb smp beraturan fisika berubah halaman

Gerak Parabola : Pengertian, Rumus Dan Contoh Soal Penyelesaian

Gerak Parabola : Pengertian, Rumus dan contoh Soal Penyelesaian www.jessipermata.com

jessipermata parabola gerak rumus penyelesaian pengertian ditembakkan peluru hitunglah

GERAK PARABOLA DAN CONTOH SOAL

GERAK PARABOLA DAN CONTOH SOAL makeyousmarter.blogspot.co.id

soal parabola gerak rumus fisika pembahasan materi hots jarak mendatar peluru smarter paham

Soal Hot Peta - Pendidik Siswa

Soal Hot Peta - Pendidik Siswa pendidiksiswaku.blogspot.com

peta kemaritiman kemenko

Contoh Soal Parabola

Contoh Soal Parabola bakingupforlosttime.blogspot.com

parabola materi gerak

Contoh Soal Menentukan Komponen Kecepatan Awal Gerak Parabola

Contoh soal menentukan komponen kecepatan awal gerak parabola gurumuda.net

parabola gerak menentukan komponen kecepatan kelereng lintasan tampak seperti

Contoh Soal Dan Pembahasan Gerak Parabola - Jendela Ilmu

Contoh Soal dan Pembahasan Gerak Parabola - Jendela Ilmu www.jendelailmu.net

pembahasan gerak parabola

Contoh Soal Dan Pembahasan Gerak Parabola Kelas Xi - Dapatkan Contoh

Contoh Soal Dan Pembahasan Gerak Parabola Kelas Xi - Dapatkan Contoh dapatkancontoh.blogspot.com

gerak pembahasan

Contoh Soal Vektor 2 Dimensi Dan 3 Dimensi Brainly | Contoh Soal Un Smp

Contoh Soal Vektor 2 Dimensi Dan 3 Dimensi Brainly | contoh soal un smp zctesta.blogspot.com

besaran soal dimensi igun satuan fisika satuannya brainly daya jawab

Gerak Parabola : Pengertian, Rumus Dan Contoh Soal Penyelesaian

Gerak Parabola : Pengertian, Rumus dan contoh Soal Penyelesaian www.jessipermata.com

jessipermata gerak parabola titik rumus pengertian penyelesaian benda

Contoh Soal Dan Pembahasan Gerak Parabola - Jendela Ilmu

Contoh Soal dan Pembahasan Gerak Parabola - Jendela Ilmu www.jendelailmu.net

gerak parabola pembahasan aplikasi

Contoh Soal Analisis Vektor Dan Penyelesaiannya – Hal

Contoh Soal Analisis Vektor Dan Penyelesaiannya – Hal python-belajar.github.io

medan penyelesaiannya koordinat

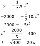
Contoh Soal Menentukan Ketinggian Maksimum Gerak Parabola - Gurumuda.Net

Contoh soal menentukan ketinggian maksimum gerak parabola - Gurumuda.Net gurumuda.net

gerak parabola soal ketinggian maksimum menentukan gurumuda jawab

Contoh Soal Dan Pembahasan Gerak Parabola - Jendela Ilmu

Contoh Soal dan Pembahasan Gerak Parabola - Jendela Ilmu www.jendelailmu.net

gerak parabola pembahasan jarak

Cari refrensi bank soal dan artikel memang lah sulit. namun Kami usaha siapkan Contoh Soal dan Pembahasan Gerak Parabola - Jendela Ilmu biar anda lebih puas.

Seterusnya, latihanlah menyikapi pertanyaan dan masalah yang udah disajikan. Anda bahkan bisa juga pengin download gambar masalah yang udah kami berikan. Jika anda tertarik pada bab yang lain dapat anda mencari dikolom pelacakan. Paling akhir, apabila anda sedang dalam zaman tahapan evaluasi jadi saya rekomendasikan buat belajar lebih giat biar cita-cita anda tergapai. Salam top mengagumkan. Sesudah Anda sudah tahu contoh serta gambar masalah di atas, karena itu saya jamin anda siap untuk type pertanyaan ini yang udah diberi oleh guru, jadi Anda bisa membela ketenangan serta reliabilitas dalam menjawab masalah yang ada. .

Gerak parabola pembahasan aplikasi. Medan penyelesaiannya koordinat. Jessipermata gerak parabola titik rumus pengertian penyelesaian benda