contoh soal limit fungsi trigonometri dan jawabannya Contoh soal sbmptn limit trigonometri

Selamat datang diwebsite kami, jikan anda sedang mencari refrensi soal informasi Contoh Soal Trigonometri Mengukur Tinggi Pohon maka adik-adik berada dihalaman yang tepat. Saat Anda lagi merampungkan soal yang ruwet, jadi pastinya Anda bakal cari contoh soal di internet sebab itu begitu ringan dijawab jikalau ada jawabnya. Dalam sesion pelacakan itu , Guru Anda dapat membuat beberapa soal yang mereka dapat sampaikan. Mungkin ada sejumlah soal yang di sampaikan untuk Anda dalam soal yang sedikit susah itu. Ada sekian banyak pertanyaan bisa Anda jawab secara gampang. Tetapi, juga ada peluang sejumlah pertanyaan yang Anda mengaku jika Anda tidak mempunyai jawabnya atau mungkin tidak ingin menjawab. Itu dia pertanyaan yang Anda takuti. Soal itu dapat berkaitan dengan beberapa fitur dalam lansir produk yang baru, waktu acara Ujian seperti UN, UAS dan Test PNS, atau soal yang lain di sejumlah acara yang pantas dikabarkan beberapa terakhir ini yang disebut objek yang hangat secara pengajaran. Pada keadaan sesuai ini berikan jawaban yang pasti dan langsung barangkali bikin rugi Anda dalam berbagai hal . Maka pertanyaan sesungguhnya merupakan bagaimana Anda bisa menyikapi secara bisa jaga Untuk Menjawab soal yang sudah diberikan oleh tenaga pendidikan. integritas Anda dan memberikan kepuasan penanya. Kami Mempunyai Informasi tentang Bank Soal 9.Pictures about Contoh Soal Trigonometri Mengukur Tinggi Pohon like Soal Limit Takhingga Un 2010 Beserta Pembahasan, Kumpulan Soal Soal Kalkulus Limit Beserta Jawabannya - Belajar Mengisi and also Contoh Soal Trigonometri Mengukur Tinggi Pohon. lihat disini:

Contoh Soal Trigonometri Mengukur Tinggi Pohon

Contoh Soal Trigonometri Mengukur Tinggi Pohon www.contohsoalku.co

trigonometri mengukur pohon

Soal Penilaian Tengah Semester 2 Matematika Kelas 4 Dan Kunci

Soal Penilaian Tengah Semester 2 Matematika Kelas 4 Dan Kunci makeitworktime.blogspot.com

uts matematika smp kurikulum kunci jawaban himpunan ujian revisi k13 ilmu genap pembahasan terbaru penilaian sem2 ulangan uas pelajaran mts

Contoh Soal Sbmptn Limit Trigonometri - Listen Ss

Contoh Soal Sbmptn Limit Trigonometri - Listen ss listenss.blogspot.com

soal fungsi aljabar pembahasan trigonometri rangkuman matriks matematika hots mojok primalangga fisika sma brainly pelajaran akar jawabannya beserta pembahasannya

Contoh Soal: Soal Un Matematika Sma Limit Fungsi

Contoh Soal: Soal Un Matematika Sma Limit Fungsi contoh-soal-hd.blogspot.com

Contoh Soal Rekonsiliasi Bank Dan Jawaban | Kumpulan Soal Matriks

Contoh Soal Rekonsiliasi Bank Dan Jawaban | kumpulan soal matriks zona220.blogspot.com

soal rekonsiliasi jawaban

10++ Contoh Soal Limit Hingga Dan Tak Hingga - Kumpulan Contoh Soal

10++ Contoh Soal Limit Hingga Dan Tak Hingga - Kumpulan Contoh Soal teamhannamy.blogspot.com

Soal Limit Takhingga Un 2010 Beserta Pembahasan

Soal Limit Takhingga Un 2010 Beserta Pembahasan download.atirta13.com

akar trigonometri kumpulan pembahasan perkalian fungsi jawaban latihan

Contoh Soal Limit Kontinu

Contoh Soal Limit Kontinu www.contohsoalku.co

mtk kontinu trigonometri rumus

Kumpulan Soal Soal Kalkulus Limit Beserta Jawabannya - Belajar Mengisi

Kumpulan Soal Soal Kalkulus Limit Beserta Jawabannya - Belajar Mengisi belejarmengisi.blogspot.com

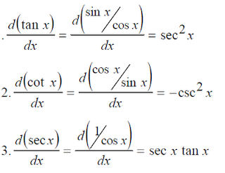
turunan pembahasan matematika kalkulus rumus trigonometri sepihak jawabannya eksponensial pembahasannya pembuktian komposisi beserta polinomial pangkat diferensial aturan aljabar otterpass8 ilmusosial

Cari refrensi bank soal dan artikel memang lah sulit. tetapi Kami usaha menyiapkan Kumpulan Soal Soal Kalkulus Limit Beserta Jawabannya - Belajar Mengisi supaya anda lebih suka.

Setelah itu, latihanlah menyikapi pertanyaan dan masalah yang sudah disajikan. Anda bahkan bisa saja ingin download gambar masalah yang udah kami suguhkan. Seandainya anda tertarik pada masalah yang lain dapat anda mencari dikolom pelacakan. Paling akhir, bila anda sedang dalam zaman bagian evaluasi jadi saya rekomendasikan buat belajar lebih giat biar keinginan anda terwujud. Salam top fantastis. Selesai Anda sudah tahu contoh serta gambar bab di atas, jadi saya jamin anda telah siap buat macam pertanyaan ini yang udah diberi oleh guru, karenanya Anda bisa membela ketenangan serta reliabilitas dalam menjawab bab yang ada. .

Contoh soal: soal un matematika sma limit fungsi. 10++ contoh soal limit hingga dan tak hingga. Soal limit takhingga un 2010 beserta pembahasan