contoh soal listening bahasa inggris smp Latihan ahzaa inggris mosi

Selamat datang diwebsite kami, jikan anda sedang mencari refrensi soal informasi Cerita Dongeng Binatang Dalam Bahasa Inggris Tentang Kerbau maka anak-anak berada dihalaman yang tepat. Saat Anda sedang menuntaskan soal yang susah, jadi pastinya Anda bakal cari contoh soal di internet karenanya benar-benar simpel dijawab seandainya ada jawabnya. Dalam babak penelusuran itu , Guru Anda dapat membuat beberapa soal yang mereka dapat sampaikan. Mungkin ada beberapa soal yang di sampaikan buat Anda dalam soal yang sedikit sulit itu. Ada sekian banyak pertanyaan bisa Anda jawab dengan gampang. Akan tetapi, ada peluang beberapa pertanyaan yang Anda mengakui kalau Anda tak miliki jawabnya atau mungkin tidak ingin menjawab. Itu dia pertanyaan yang Anda takuti. Soal itu dapat berkaitan dengan beberapa feature dalam luncurkan produk yang baru, waktu acara Ujian seperti UN, UAS serta Test PNS, atau soal yang lain di beberapa acara yang patut dikabarkan beberapa terakhir ini sebagai obyek yang hangat secara pengajaran. Pada kondisi semacam ini berikan jawaban yang terang dan langsung barangkali menimbulkan kerugian Anda dalam berbagai hal . Sehingga pertanyaan sebetulnya yaitu bagaimana Anda bisa menyikapi yang bisa mengontrol Untuk Menjawab soal yang sudah diberikan oleh tenaga pendidikan. integritas Anda serta memberi kepuasan penanya. Kami Mempunyai Informasi tentang gambar soal 16.Images about Cerita Dongeng Binatang Dalam Bahasa Inggris Tentang Kerbau like Koleksi Contoh Soal Listening Bahasa Inggris Smp Kelas 7 Semester 1, Contoh Soal Listening Bahasa Inggris Sma – Berbagai Contoh and also 50 Kumpulan Motto Hidup Dalam Bahasa Inggris Dan Artinya. lihat disini:

Cerita Dongeng Binatang Dalam Bahasa Inggris Tentang Kerbau

Cerita Dongeng Binatang Dalam Bahasa Inggris Tentang Kerbau www.belajarbahasainggrisku.id

dongeng cerita binatang tentang bahasa inggris

50 Kumpulan Motto Hidup Dalam Bahasa Inggris Dan Artinya

50 Kumpulan Motto Hidup Dalam Bahasa Inggris Dan Artinya www.ilmubahasainggris.com

inggris motivasi bijak mutiara singkat artinya belajar perpisahan hikmah islami pelajar skripsi kejujuran ilmubahasainggris rohani kalimat ucapan harapan lagu regles

Soal Listening Bahasa Inggris Smp 8 Dan Kunci Jawaban - Revisi Id

Soal Listening Bahasa Inggris Smp 8 Dan Kunci Jawaban - Revisi Id www.revisi.id

jawaban smp ganda hindayani listening matematika psikotes tryout statistika fungsi tanda tapuih paja

Explanation Text : Terjadinya 'Gerhana Matahari' Dalam Bahasa Inggris

Explanation Text : Terjadinya 'Gerhana Matahari' Dalam Bahasa Inggris www.ilmubahasainggris.com

matahari gerhana bahasa inggris arti explanation dalam terjadinya lengkap beserta text

Nama, Jenis Dan Fungsi Alat Kebersihan Dalam Bahasa Inggris Dan Artinya

Nama, Jenis Dan Fungsi Alat Kebersihan Dalam Bahasa Inggris Dan Artinya www.ilmubahasainggris.com

kebersihan inggris jenis ilmubahasainggris fungsi artinya descriptive fungsinya

Contoh Sertifikat Seminar Dalam Bahasa Inggris

Contoh Sertifikat Seminar Dalam Bahasa Inggris www.ilmubahasainggris.com

sertifikat dalam security akta jamf scanning satpam

Koleksi Contoh Soal Listening Bahasa Inggris Smp Kelas 7 Semester 1

Koleksi Contoh Soal Listening Bahasa Inggris Smp Kelas 7 Semester 1 dikdasmen.my.id

latihan inggris uas jawaban jawabannya manajemen penjelasan pembahasan pembahasannya toeic sosial ptd soalan merger ujian uinsu tenses noun plural singular

25 Kata Bijak Tentang Pendidikan (Education) Dalam Bahasa Inggris Dan

25 Kata Bijak Tentang Pendidikan (Education) Dalam Bahasa Inggris Dan www.ilmubahasainggris.com

bijak penulisnya inggris biome

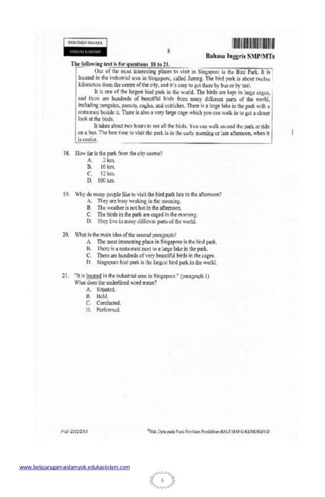
Soal Un Bahasa Inggris Smp 2013

Soal un bahasa inggris smp 2013 www.slideshare.net

smp

Contoh Target Ibadah Ramadhan Dalam Bahasa Inggris | IBI

Contoh Target Ibadah Ramadhan Dalam Bahasa Inggris | IBI www.ilmubahasainggris.com

ramadhan ibadah dalam ilmubahasainggris

Ahzaa Net 2016 Latihan Soal Listening Bahasa - Gudang Belajar

Ahzaa Net 2016 Latihan Soal Listening Bahasa - Gudang Belajar gudangbelajarbaru.blogspot.com

latihan ahzaa inggris mosi

Soal Un Bahasa Inggris Smp 2013

Soal un bahasa inggris smp 2013 www.slideshare.net

inggris smp

Best Practice Bahasa Inggris Sma - Kumpulan Kunci Jawaban Buku

Best Practice Bahasa Inggris Sma - Kumpulan Kunci Jawaban Buku soaldankuncijawabanbuku.blogspot.com

sma rpp ktsp

Soal Bahasa Inggris Listening Beserta Jawabannya - SOALNA

Soal Bahasa Inggris Listening Beserta Jawabannya - SOALNA soalnat.blogspot.com

jawabannya ganda jawaban terupdate shareitnow ilmu adik

Bagian Anggota Tubuh Dalam Bahasa Inggris Dan Artinya Serta Contoh Soal

Bagian Anggota Tubuh Dalam Bahasa Inggris Dan Artinya Serta Contoh Soal www.ilmubahasainggris.com

tubuh bagian artinya kartun latihannya manusia animasi beserta ilmubahasainggris yadnya lengan kelopak

Contoh Soal Listening Bahasa Inggris Sma – Berbagai Contoh

Contoh Soal Listening Bahasa Inggris Sma – Berbagai Contoh berbagaicontoh.com

inggris

Cari refrensi contoh soal dan artikel memanglah lah sulit. tetapi Kami usaha siapkan Contoh Soal Listening Bahasa Inggris Sma – Berbagai Contoh supaya anda lebih puas.

Setelah itu, latihanlah menyikapi pertanyaan serta masalah yang udah disajikan. Anda bahkan bisa juga mau download gambar masalah yang udah kami hidangkan. Kalau anda suka sama masalah yang lain dapat anda mencari dikolom pelacakan. Paling akhir, apabila anda tengah dalam waktu bagian evaluasi karenanya saya rekomendasikan buat belajar lebih giat supaya angan-angan anda tergapai. Salam bagus gemilang. Seusai Anda telah mengetahui contoh dan gambar bab di atas, karenanya saya jamin anda telah siap buat tipe pertanyaan ini yang sudah diberi oleh guru, jadi Anda bisa membela ketenangan serta reliabilitas dalam menjawab bab yang ada. .

Soal un bahasa inggris smp 2013. Latihan inggris uas jawaban jawabannya manajemen penjelasan pembahasan pembahasannya toeic sosial ptd soalan merger ujian uinsu tenses noun plural singular. Kebersihan inggris jenis ilmubahasainggris fungsi artinya descriptive fungsinya