contoh soal menentukan peribahasa sesuai ilustrasi Ganda peribahasa jawabannya

Selamat datang diwebsite kami, jikan anda sedang mencari bank soal tentang Konsep 12+ Contoh Soal For Example Dan Such As, Paling Heboh! maka anda berada dihalaman yang tepat. Saat Anda lagi merampungkan soal yang susah, jadi pastilah Anda bakal cari contoh soal di internet karenanya amat ringan dijawab jika ada jawabnya. Dalam sesion pelacakan itu , Guru Anda dapat bikin sejumlah soal yang mereka akan sampaikan. Kemungkinan ada beberapa soal yang di sampaikan buat Anda dalam soal yang sedikit ruwet itu. Ada banyak pertanyaan bisa Anda jawab dengan gampang. Akan tetapi, juga ada peluang sejumlah pertanyaan yang Anda mengakui kalau Anda tak miliki jawabnya atau mungkin tidak pengin menjawab. Itu dia pertanyaan yang Anda takuti. Soal itu dapat berkaitan dengan sejumlah fitur dalam luncurkan produk yang baru, waktu acara Ujian seperti UN, UAS dan Ujian PNS, atau soal yang lain di sejumlah acara yang patut dikabarkan beberapa terakhir ini yang disebut obyek yang hangat secara pengajaran. Pada kondisi sebagai berikut memberinya jawaban yang terang serta langsung barangkali bikin rugi Anda dalam berbagai perihal . Maka pertanyaan sesungguhnya yaitu bagaimana Anda bisa menyikapi dengan bisa melindungi Untuk Menjawab soal yang telah diberikan oleh tenaga pendidikan. integritas Anda serta memberikan kepuasan penanya. Kami Mempunyai Informasi tentang contoh soal 13.Pics about Konsep 12+ Contoh Soal For Example Dan Such As, Paling Heboh! like Soal Menanyakan Makna Ungkapan Dalam Teks Anekdot - Rumah Pendidikan, Contoh Soal Metode Biseksi Dan Penyelesaiannya - Berbagi Contoh Soal and also Contoh Soal Definisi Usaha. lihat disini:

Konsep 12+ Contoh Soal For Example Dan Such As, Paling Heboh!

Konsep 12+ Contoh Soal For Example Dan Such As, Paling Heboh! vbelajarsoal.blogspot.com

penilaian kartu siswa fisika heboh fisikasiswa such

Contoh Soal Un Matematika Dan Pembahasannya – Berbagai Contoh

Contoh Soal Un Matematika Dan Pembahasannya – Berbagai Contoh berbagaicontoh.com

pembahasannya

Bagaimana Menentukan Makna Peribahasa - Belajar Asik

Bagaimana Menentukan Makna Peribahasa - Belajar asik belajarasik112.blogspot.com

peribahasa artinya budayaku lengkap

Soal Menanyakan Makna Ungkapan Dalam Teks Anekdot - Rumah Pendidikan

Soal Menanyakan Makna Ungkapan Dalam Teks Anekdot - Rumah Pendidikan rumahpendidikansiswa.blogspot.com

anekdot quizizz makna ungkapan menanyakan

Contoh Soal Dan Pembahasan Laju Reaksi – Berbagai Contoh

Contoh Soal Dan Pembahasan Laju Reaksi – Berbagai Contoh berbagaicontoh.com

contoh laju reaksi pembahasan avkimia

Contoh Soal Dan Pembahasan Aritmatika Sosial Kelas 9 | Contoh Soal Dan

Contoh Soal Dan Pembahasan Aritmatika Sosial Kelas 9 | contoh soal dan zcstudio.blogspot.com

pembahasan aritmatika statis smp listrik

PEMBAHASAN CONTOH SOAL - MENENTUKAN JUMLAH ANGKA PENTING - YouTube

PEMBAHASAN CONTOH SOAL - MENENTUKAN JUMLAH ANGKA PENTING - YouTube www.youtube.com

angka soal

Soal Menanyakan Makna Ungkapan Dalam Teks Anekdot - Rumah Pendidikan

Soal Menanyakan Makna Ungkapan Dalam Teks Anekdot - Rumah Pendidikan rumahpendidikansiswa.blogspot.com

teks diskusi kebahasaan unsur menanyakan ungkapan makna anekdot ruangguru sesuai peribahasa menentukan

Contoh Soal Definisi Usaha

Contoh Soal Definisi Usaha jegeristik.blogspot.com

nomor ditunjukkan besar

Soal Pilihan Ganda Tentang Peribahasa Beserta Jawabannya - Master Books

Soal Pilihan Ganda Tentang Peribahasa Beserta Jawabannya - Master Books masterbooksusa.blogspot.com

ganda peribahasa jawabannya

Contoh Soal Peluang Kelas 12 Dan Pembahasannya

Contoh Soal Peluang Kelas 12 Dan Pembahasannya www.contohsoalku.co

kelas contoh pembahasannya peluang

Contoh Soal Metode Biseksi Dan Penyelesaiannya - Berbagi Contoh Soal

Contoh Soal Metode Biseksi Dan Penyelesaiannya - Berbagi Contoh Soal bagicontohsoal.blogspot.com

persamaan linier biseksi

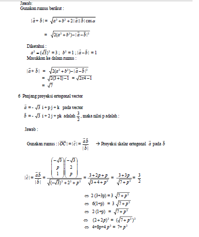
JAGOAN BELAJAR: Contoh Soal Dan Pembahasan Tentang Vektor

JAGOAN BELAJAR: contoh soal dan pembahasan tentang vektor jagoanbelajarprimamedica.blogspot.com

jagoan swasta kampus juga indonesia

Cari refrensi soal dan artikel benar-benar lah sulit. namun Kami usaha sediakan JAGOAN BELAJAR: contoh soal dan pembahasan tentang vektor biar anda lebih puas.

Setelah itu, latihanlah menyikapi pertanyaan dan bab yang udah disajikan. Anda bahkan kemungkin mau download gambar bab yang udah kami hidangkan. Jika anda tertarik pada bab yang lain dapat anda mencari dikolom pelacakan. Paling akhir, bila anda tengah dalam zaman sesi evaluasi jadi saya anjurkan untuk belajar lebih giat supaya mimpi anda terwujud. Salam bagus mengagumkan. Selesai Anda sudah ketahui contoh dan gambar bab di atas, karena itu saya jamin anda telah siap untuk macam pertanyaan ini yang sudah diberi oleh guru, jadi Anda bisa membela ketenangan serta integritas dalam menjawab masalah yang ada. .

Contoh soal metode biseksi dan penyelesaiannya. Persamaan linier biseksi. Peribahasa artinya budayaku lengkap