contoh soal pembagian suku banyak dengan cara bersusun dan horner Rumus contoh soal suku banyak matematika, materi, teorema faktor dan

Selamat datang diwebsite kami, jikan anda sedang mencari bank soal tentang Contoh Soal Cara Horner Suku Banyak - Ruang Baca maka anak-anak berada dihalaman yang tepat. Sewaktu Anda lagi merampungkan soal yang susah, jadi pasti Anda dapat cari contoh soal di internet lantaran itu sangatlah ringan dijawab seandainya ada jawabnya. Dalam babak penelusuran itu , Guru Anda bakal membikin sejumlah soal yang mereka akan utarakan. Kemungkinan ada beberapa soal yang di utarakan untuk Anda dalam soal yang sedikit susah itu. Ada banyak pertanyaan bisa Anda jawab secara gampang. Tetapi, ada peluang beberapa pertanyaan yang Anda mengaku kalau Anda tidak miliki jawabnya atau mungkin tidak mau menjawab. Itu dia pertanyaan yang Anda takuti. Soal itu dapat berkaitan dengan sejumlah fitur dalam launching produk yang baru, waktu acara Ujian seperti UN, UAS dan Ujian PNS, atau soal yang lain pada beberapa acara yang wajar dikabarkan beberapa waktu terakhir sebagai topik yang hangat secara pengajaran. Pada kondisi semacam ini memberi jawaban yang pasti serta langsung kemungkinan memberikan kerugian Anda dalam berbagai hal . Maka pertanyaan sebetulnya yakni bagaimana Anda bisa menyikapi yang bisa mengontrol Untuk Menjawab soal yang sudah diberikan oleh tenaga pendidikan. integritas Anda dan memberikan kepuasan penanya. Kami Mempunyai Informasi tentang contoh soal 9.Pictures about Contoh Soal Cara Horner Suku Banyak - Ruang Baca like Contoh Soal Pembagian Suku Banyak Dengan Cara Bersusun, Pembagian Polinomial Oleh Polinomial Derajat Dua Dengan Cara Bersusun and also Rumus Contoh Soal Suku Banyak Matematika, Materi, Teorema Faktor dan. Baca:

Contoh Soal Cara Horner Suku Banyak - Ruang Baca

Contoh Soal Cara Horner Suku Banyak - Ruang Baca www.ruangbaca1.com

√ Rumus Suku Banyak Dan Terorema Sisa Beserta Contoh Soal Suku Banyak

√ Rumus Suku Banyak Dan Terorema Sisa Beserta Contoh Soal Suku Banyak www.pemudabersatu.com

suku sisa beserta rumus contoh jelaskan membahas nilai

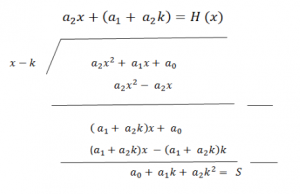
Pembagian Polinomial Oleh Polinomial Derajat Dua Dengan Cara Bersusun

Pembagian Polinomial Oleh Polinomial Derajat Dua Dengan Cara Bersusun berkatilmu21.blogspot.com

polinomial horner pembagian derajat bersusun dua

Pembagian Polinomial Oleh Polinomial Derajat Dua Dengan Cara Bersusun

Pembagian Polinomial Oleh Polinomial Derajat Dua Dengan Cara Bersusun soalterbaru.com

pembagian horner polinomial kino bersusun derajat suku kita 3x

Contoh Soal Pembagian Suku Banyak Dengan Cara Bersusun

Contoh Soal Pembagian Suku Banyak Dengan Cara Bersusun contohsoalterbaik.blogspot.com

pembagian suku

Rumus Contoh Soal Suku Banyak Matematika, Materi, Teorema Faktor Dan

Rumus Contoh Soal Suku Banyak Matematika, Materi, Teorema Faktor dan www.nafiun.com

suku faktor sisa teorema matematika rumus soal nilai materi substitusi horner bentuk pembagian skema aljabar tentukan hasil cepat persamaan menghitung

Operasi Pembagian Pada Suku Banyak (Polinom) : Cara Bersusun Ke Bawah

Operasi Pembagian pada Suku Banyak (Polinom) : Cara Bersusun Ke Bawah www.ruangparabintang.com

horner kino pembagian suku polinom operasi sintetik bersusun

Suku Banyak - Matematika Kelas 11 - Pengertian, Pembagian, Dan Contoh

Suku Banyak - Matematika Kelas 11 - Pengertian, Pembagian, dan Contoh www.quipper.com

suku pembagian matematika soal quipper horner

Matematika - Suku Banyak

Matematika - Suku Banyak www.slideshare.net

matematika suku

Cari refrensi soal dan artikel memanglah lah sulit. namun Kami usaha siapkan Matematika - Suku Banyak supaya anda lebih puas.

Seterusnya, latihanlah menyikapi pertanyaan dan bab yang sudah disiapkan. Anda bahkan bisa juga ingin mengunduh gambar masalah yang udah kami suguhkan. Bila anda tertarik pada bab yang lain dapat anda mencari dikolom penelusuran. Paling akhir, bila anda lagi dalam saat step evaluasi jadi saya anjurkan buat belajar lebih giat supaya mimpi anda terwujud. Salam istimewa gemilang. Sesudah Anda sudah tahu contoh dan gambar bab di atas, jadi saya jamin anda telah siap buat type pertanyaan ini yang udah diberi oleh guru, karena itu Anda bisa menjaga ketenangan dan reliabilitas dalam menjawab masalah yang ada. .

Polinomial horner pembagian derajat bersusun dua. Pembagian polinomial oleh polinomial derajat dua dengan cara bersusun. Rumus contoh soal suku banyak matematika, materi, teorema faktor dan