contoh soal pemuaian panjang luas dan volume Pemuaian prinsip sehari koefisien muai pembahasan disebut zat padat

Selamat datang diwebsite kami, jikan anda sedang mencari contoh soal informasi Yuk Mojok!: Contoh Soal Pemuaian Zat Cair Dan Pembahasannya maka anda berada dihalaman yang tepat. Di saat Anda sedang selesaikan soal yang sulit, jadi pastilah Anda akan cari contoh soal di internet karenanya begitu simpel dijawab jika ada jawabnya. Dalam babak pelacakan itu , Guru Anda dapat membuat sejumlah soal yang mereka akan kemukakan. Mungkin ada sejumlah soal yang di utarakan buat Anda dalam soal yang sedikit sulit itu. Ada banyak pertanyaan bisa Anda jawab secara mudah. Tetapi, ada pula peluang sejumlah pertanyaan yang Anda mengaku kalau Anda tidak miliki jawabnya atau mungkin tidak pengin menjawab. Itu pertanyaan yang Anda takuti. Soal itu dapat berkaitan dengan beberapa fitur dalam lansir produk yang baru, waktu acara Ujian seperti UN, UAS serta Test PNS, atau soal yang lain pada sejumlah acara yang patut dikabarkan belakangan ini yang disebut obyek yang hangat secara pengajaran. Pada keadaan sesuai ini memberinya jawaban yang pasti dan langsung barangkali bikin rugi Anda dalam berbagai perihal . Sehingga pertanyaan sebetulnya merupakan bagaimana Anda bisa menyikapi secara bisa mengontrol Untuk Menjawab soal yang sudah diberikan oleh tenaga pendidikan. reliabilitas Anda dan mengesankan penanya. Kami Mempunyai Informasi tentang Bank Soal 8.Images about Yuk Mojok!: Contoh Soal Pemuaian Zat Cair Dan Pembahasannya like CINTA FISIKA: Pemuaian Volume, Contoh Soal Bab Pemuaian - Jawaban Guru and also Rumus Pemuaian Panjang, Luas, Volume dan Pada Gas - Soal Jawaban. Baca selengkapnya:

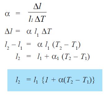
Yuk Mojok!: Contoh Soal Pemuaian Zat Cair Dan Pembahasannya

Yuk Mojok!: Contoh Soal Pemuaian Zat Cair Dan Pembahasannya yuk.mojok.my.id

pemuaian yuk mojok pembahasan suhu kalor

CINTA FISIKA: Pemuaian Volume

CINTA FISIKA: Pemuaian Volume informasifisika.blogspot.com

pemuaian

Konsep Dan Contoh Soal Kalor Dan Perpindahannya - Pemuaian – Fisika SMA

Konsep dan Contoh Soal Kalor dan Perpindahannya - Pemuaian – Fisika SMA www.lakonfisika.net

fisika dinamika rotasi kalor pemuaian lakonfisika elastisitas perpindahan kesetimbangan rangkuman materi hots perpindahannya bab hooke benda tegar torsi keseimbangan

Rumus Pemuaian Panjang, Luas Dan Volume | Berpendidikan

Rumus Pemuaian Panjang, Luas dan Volume | Berpendidikan www.berpendidikan.com

rumus panjang pemuaian luas zat muai berpendidikan fisika mojok yuk awal dipanaskan sebelum padat suhu

Rumus Pemuaian Panjang, Luas, Volume Dan Pada Gas - Soal Jawaban

Rumus Pemuaian Panjang, Luas, Volume dan Pada Gas - Soal Jawaban www.pinterpandai.com

rumus pemuaian luas jawaban fisika cahaya jawabannya gelombang pinterpandai zat cair sudut alkena pompa kompresor termodinamika antar tegangan muai pilih

3 Pemuaian Pada Zat Padat | Soal Dan Jawaban | Cara Praktikum

3 Pemuaian Pada Zat Padat | Soal dan Jawaban | Cara Praktikum file-education.blogspot.com

muai koefisien luas persamaan pemuaian padat zat

Contoh Soal Bab Pemuaian - Jawaban Guru

Contoh Soal Bab Pemuaian - Jawaban Guru jawabangurusiswa.blogspot.com

7 Prinsip Pemuaian Dalam Kehidupan Sehari-hari + Gambar, Contoh Soal

7 Prinsip Pemuaian dalam Kehidupan Sehari-hari + Gambar, Contoh Soal juniorsciences.blogspot.com

pemuaian prinsip sehari koefisien muai pembahasan disebut zat padat

Cari refrensi contoh soal dan artikel memanglah lah sulit. namun Kami usaha siapkan 7 Prinsip Pemuaian dalam Kehidupan Sehari-hari + Gambar, Contoh Soal biar anda lebih suka.

Seterusnya, latihanlah menyikapi pertanyaan dan bab yang udah disajikan. Anda bahkan bisa juga pengin download gambar masalah yang udah kami suguhkan. Seandainya anda suka dengan bab yang lain dapat anda mencari dikolom penelusuran. Paling akhir, kalau anda sedang dalam saat bagian evaluasi karena itu saya rekomendasikan untuk belajar lebih giat biar hasrat anda teraih. Salam istimewa mengagumkan. Seusai Anda sudah ketahui contoh serta gambar bab di atas, karena itu saya jamin anda siap untuk type pertanyaan ini yang udah diberi oleh guru, karena itu Anda bisa membela ketenangan serta integritas dalam menjawab bab yang ada. .

7 prinsip pemuaian dalam kehidupan sehari-hari + gambar, contoh soal. Rumus panjang pemuaian luas zat muai berpendidikan fisika mojok yuk awal dipanaskan sebelum padat suhu. Rumus pemuaian luas jawaban fisika cahaya jawabannya gelombang pinterpandai zat cair sudut alkena pompa kompresor termodinamika antar tegangan muai pilih