contoh soal persamaan diferensial biasa dan penyelesaiannya Contoh soal dan pembahasan persamaan diferensial bernoulli – goreng

Selamat datang diwebsite kami, jikan anda sedang mencari bank soal informasi Persamaan Diferensial Biasa (PDB) Orde 1 maka anak-anak berada dihalaman yang tepat. Waktu Anda sedang mengakhiri soal yang ruwet, karena itu pasti Anda bakal cari contoh soal di internet lantaran itu sangatlah gampang dijawab jikalau ada jawabnya. Dalam babak pelacakan itu , Guru Anda dapat membuat beberapa soal yang mereka bakal sampaikan. Mungkin ada beberapa soal yang di utarakan untuk Anda dalam soal yang sedikit sulit itu. Ada banyak pertanyaan bisa Anda jawab dengan gampang. Tetapi, juga ada peluang sejumlah pertanyaan yang Anda mengaku jika Anda tak punya jawabnya atau mungkin tidak mau menjawab. Itu dia pertanyaan yang Anda takuti. Soal itu dapat berkaitan dengan beberapa fitur dalam keluarkan produk yang anyar, waktu acara Ujian seperti UN, UAS dan Ujian PNS, atau soal yang lain pada sejumlah acara yang patut dikabarkan belakangan ini yang disebut obyek yang hangat secara pengajaran. Pada keadaan semacam ini memberi jawaban yang pasti dan langsung kemungkinan menimbulkan kerugian Anda dalam berbagai hal . Maka pertanyaan sesungguhnya yaitu bagaimana Anda bisa menyikapi secara bisa jaga Untuk Menjawab soal yang telah diberikan oleh tenaga pendidikan. reliabilitas Anda dan mengesankan penanya. Kami Mempunyai Informasi tentang gambar soal 9.Pics about Persamaan Diferensial Biasa (PDB) Orde 1 like Contoh Soal Persamaan Diferensial - Guru Paud, Soal Persamaan Diferensial - Guru Paud and also Soal Persamaan Diferensial - Guru Paud. lihat disini:

Persamaan Diferensial Biasa (PDB) Orde 1

Persamaan Diferensial Biasa (PDB) Orde 1 www.slideshare.net

persamaan diferensial pdb

Contoh Soal Persamaan Diferensial Parsial Dan Penyelesaiannya - Contoh

Contoh Soal Persamaan Diferensial Parsial Dan Penyelesaiannya - Contoh barucontohsoal.blogspot.com

persamaan contoh diferensial parsial penyelesaiannya

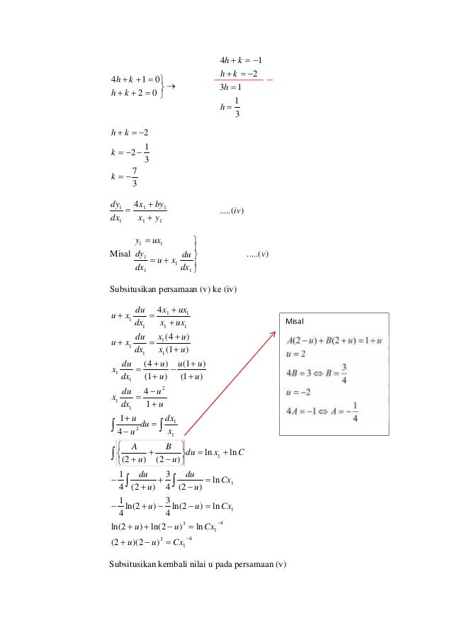
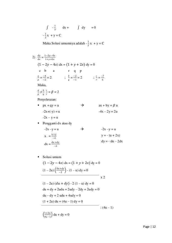
31+ Contoh Soal Persamaan Diferensial Homogen Dan Penyelesaiannya

31+ Contoh Soal Persamaan Diferensial Homogen Dan Penyelesaiannya teamhannamy.blogspot.com

diferensial persamaan biasa homogen penyelesaiannya bab

Soal Persamaan Diferensial - Guru Paud

Soal Persamaan Diferensial - Guru Paud www.gurupaud.my.id

persamaan diferensial soal elementer

Contoh Soal Persamaan Diferensial - Guru Paud

Contoh Soal Persamaan Diferensial - Guru Paud www.gurupaud.my.id

persamaan diferensial homogen orde penyelesaian differensial pdb jember universitas

Soal Persamaan Diferensial - Guru Paud

Soal Persamaan Diferensial - Guru Paud www.gurupaud.my.id

persamaan diferensial soal orde bentuk linier

Contoh Soal Dan Penyelesaian Persamaan Diferensial Orde 2 Non Homogen

Contoh Soal Dan Penyelesaian Persamaan Diferensial Orde 2 Non Homogen contohsoalterbaik.blogspot.com

persamaan diferensial penyelesaian homogen pembahasan orde integrasi pemisahan definis pembentukan

Contoh Soal Dan Jawaban Penerapan Persamaan Diferensial – IlmuSosial.id

Contoh Soal Dan Jawaban Penerapan Persamaan Diferensial – IlmuSosial.id www.ilmusosial.id

persamaan jawaban penerapan reaksi laju diferensial merkuri fitroh fisika

Contoh Soal Dan Pembahasan Persamaan Diferensial Bernoulli – Goreng

Contoh Soal Dan Pembahasan Persamaan Diferensial Bernoulli – Goreng detiks.github.io

persamaan diferensial pembahasan bernoulli mldr jawabannya carilah aplikasi

Cari refrensi contoh soal dan artikel betul-betul lah sulit. tetapi Kami usaha sediakan Contoh Soal Dan Pembahasan Persamaan Diferensial Bernoulli – Goreng supaya anda lebih puas.

Setelah itu, latihanlah menyikapi pertanyaan serta bab yang udah disajikan. Anda bahkan bisa juga mau mengunduh gambar bab yang sudah kami berikan. Jika anda tertarik sama bab yang lain dapat anda mencari dikolom pelacakan. Paling akhir, bila anda sedang dalam zaman bagian evaluasi karena itu saya rekomendasikan untuk belajar lebih giat supaya keinginan anda tergapai. Salam istimewa hebat. Selesai Anda sudah ketahui contoh serta gambar masalah di atas, karena itu saya jamin anda telah siap untuk macam pertanyaan ini yang udah dikasihkan oleh guru, karenanya Anda bisa membela ketenangan dan reliabilitas dalam menjawab bab yang ada. .

Persamaan diferensial soal orde bentuk linier. Persamaan diferensial penyelesaian homogen pembahasan orde integrasi pemisahan definis pembentukan. Persamaan contoh diferensial parsial penyelesaiannya