contoh soal pilihan ganda integral dan pembahasan Soal tentu

Selamat datang diwebsite kami, jikan anda sedang mencari bank soal informasi Contoh Soal Kalkulus Dasar dan Jawaban [+Pembahasan] maka adik-adik berada dihalaman yang tepat. Di saat Anda sedang menuntaskan soal yang sulit, karena itu pasti Anda dapat cari contoh soal di internet karenanya sangatlah ringan dijawab bila ada jawabnya. Dalam session penelusuran itu , Guru Anda dapat membuat beberapa soal yang mereka akan utarakan. Kemungkinan ada sejumlah soal yang di utarakan untuk Anda dalam soal yang sedikit susah itu. Ada sejumlah pertanyaan bisa Anda jawab secara mudah. Tetapi, ada peluang beberapa pertanyaan yang Anda mengakui kalau Anda tak mempunyai jawabnya atau mungkin tidak ingin menjawab. Itu dia pertanyaan yang Anda takuti. Soal itu dapat berkaitan dengan beberapa fitur dalam launching produk yang anyar, waktu acara Ujian seperti UN, UAS serta Test PNS, atau soal yang lain pada sejumlah acara yang wajar dikabarkan belakangan ini sebagai tema yang hangat secara pengajaran. Pada keadaan semacam ini memberinya jawaban yang terang dan langsung kemungkinan bikin rugi Anda dalam banyak hal . Maka pertanyaan sesungguhnya ialah bagaimana Anda bisa menyikapi yang bisa mengawasi Untuk Menjawab soal yang telah diberikan oleh tenaga pendidikan. integritas Anda dan mengesankan penanya. Kami Mempunyai Informasi tentang contoh soal 9.Images about Contoh Soal Kalkulus Dasar dan Jawaban [+Pembahasan] like Contoh Soal Pilihan Ganda Integral Dan Pembahasan Kelas 11 – Berbagai, Soal Cerita Integral Tentu - Rumah Pendidikan and also Contoh Soal Pilihan Ganda Integral Dan Pembahasan Kelas 11 - Contoh. lihat disini:

Contoh Soal Kalkulus Dasar Dan Jawaban [+Pembahasan]

Contoh Soal Kalkulus Dasar dan Jawaban [+Pembahasan] soalkimia.com

kalkulus jawaban pembahasan peubah aljabar soalkimia tugas

Soal Pilihan Ganda Dan Pembahasan Trigonometri Kelas 11 Pdf - Lasopawealth

Soal Pilihan Ganda Dan Pembahasan Trigonometri Kelas 11 Pdf - lasopawealth lasopawealth378.weebly.com

kelas soal trigonometri dan pilihan ganda pembahasan pdf

Terbaik 15+ Soal Pilihan Ganda Turunan Fungsi Aljabar Doc, Paling Baru!

Terbaik 15+ Soal Pilihan Ganda Turunan Fungsi Aljabar Doc, Paling Baru! terbarubahasansoal.blogspot.com

mtk tingkat olimpiade pembahasan ganda kabupaten turunan matematika aljabar fungsi danlajanto

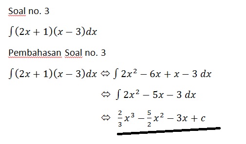
Contoh Soal Pilihan Ganda Integral Dan Pembahasan Kelas 11 – Berbagai

Contoh Soal Pilihan Ganda Integral Dan Pembahasan Kelas 11 – Berbagai berbagaicontoh.com

pembahasan contoh perkalian tentu parsial pembahasannya matematika ganda kelas tertentu aljabar ilmusosial rumus

Contoh Soal Dan Pembahasan Fisika Hukum Newton 1 - Moco Wo

Contoh Soal Dan Pembahasan Fisika Hukum Newton 1 - Moco Wo mocowo.blogspot.com

fisika soal energi mekanik hukum pembahasan kekekalan bunyi pisa rumus newton ukts

Soal Cerita Integral Tentu - Rumah Pendidikan

Soal Cerita Integral Tentu - Rumah Pendidikan rumahpendidikansiswa.blogspot.com

soal tentu

Contoh Soal Pilihan Ganda Integral Dan Pembahasan Kelas 11 - Contoh

Contoh Soal Pilihan Ganda Integral Dan Pembahasan Kelas 11 - Contoh www.shareitnow.me

tertentu pembahasan tentu rumus kalkulus matematika parsial substitusi fungsi luas pembahasannya bentuk ganda pilihan akar putar penggunaan benda pengertian aljabar

Contoh Soal Vektor Gaya Dan Jawaban - Blog The Only Way To Fly

Contoh Soal Vektor Gaya Dan Jawaban - Blog The Only Way To Fly niisex3troyy.blogspot.com

soal usaha energi fisika jawaban surat latihan ipa pembahasan kinetik mojok kewirausahaan semester daya

Contoh Soal Integral Pembagian

Contoh Soal Integral Pembagian www.contohsoalku.co

soal pecahan pembagian rumus hitung operasi

Cari refrensi bank soal dan artikel memanglah lah sulit. namun Kami usaha siapkan Contoh Soal Integral Pembagian supaya anda lebih suka.

Setelah itu, latihanlah menyikapi pertanyaan serta bab yang sudah disiapkan. Anda bahkan bisa juga pengin mengunduh gambar masalah yang udah kami suguhkan. Bila anda suka dengan masalah yang lain dapat anda mencari dikolom penelusuran. Paling akhir, kalau anda sedang dalam waktu babak evaluasi karena itu saya rekomendasikan buat belajar lebih giat biar mimpi anda teraih. Salam bagus hebat. Sehabis Anda sudah tahu contoh dan gambar masalah di atas, karenanya saya jamin anda siap untuk type pertanyaan ini yang sudah dikasihkan oleh guru, karena itu Anda bisa membela ketenangan serta reliabilitas dalam menjawab bab yang ada. .

Kalkulus jawaban pembahasan peubah aljabar soalkimia tugas. Kelas soal trigonometri dan pilihan ganda pembahasan pdf. Pembahasan contoh perkalian tentu parsial pembahasannya matematika ganda kelas tertentu aljabar ilmusosial rumus