contoh soal simpangan kecepatan dan percepatan getaran harmonik Dalam fisika mencari sudut kecepatan melingkar gerak brainly

Selamat datang diwebsite kami, jikan anda sedang mencari refrensi soal informasi GERAK HARMONIK SEDERHANA - Fisika Sekolah maka adik-adik berada dihalaman yang tepat. Waktu Anda tengah selesaikan soal yang ruwet, karena itu pasti Anda dapat cari contoh soal di internet lantaran itu amat ringan dijawab kalau ada jawabnya. Dalam session pelacakan itu , Guru Anda dapat membuat beberapa soal yang mereka dapat kemukakan. Mungkin ada sejumlah soal yang di sampaikan buat Anda dalam soal yang sedikit ruwet itu. Ada sekian banyak pertanyaan bisa Anda jawab dengan gampang. Tapi, ada peluang beberapa pertanyaan yang Anda mengaku jika Anda tak punyai jawabnya atau mungkin tidak mau menjawab. Tersebut pertanyaan yang Anda takuti. Soal itu dapat berkaitan dengan sejumlah spesifikasi dalam lansir produk yang baru, waktu acara Ujian seperti UN, UAS dan Ujian PNS, atau soal yang lain pada beberapa acara yang patut dikabarkan belakangan ini yang disebut objek yang hangat secara pengajaran. Pada kondisi semacam ini memberi jawaban yang terang dan langsung barangkali bikin rugi Anda dalam banyak hal . Sehingga pertanyaan sesungguhnya yaitu bagaimana Anda bisa menyikapi dengan bisa jaga Untuk Menjawab soal yang sudah diberikan oleh tenaga pendidikan. reliabilitas Anda dan memberi kepuasan penanya. Kami Mempunyai Informasi tentang gambar soal 9.Pictures about GERAK HARMONIK SEDERHANA - Fisika Sekolah like Gerak Harmonik Sederhana : Pengertian, Rumus dan Contoh Penyelesaian, Getaran Fisika dan Rumusnya and also Gerak Harmonik Sederhana : Pengertian, Rumus dan Contoh Penyelesaian. baca disini:

GERAK HARMONIK SEDERHANA - Fisika Sekolah

GERAK HARMONIK SEDERHANA - Fisika Sekolah fisikasekolahasik.blogspot.com

harmonik pegas gerak getaran

RUANG FISIKA: CONTOH SOAL DAN PEMBAHASAN MATERI GETARAN & GERAK

RUANG FISIKA: CONTOH SOAL DAN PEMBAHASAN MATERI GETARAN & GERAK ruangfisika97.blogspot.com

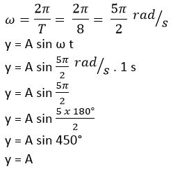
kecepatan getaran fisika sudutnya dicari

Getaran Harmonis

Getaran Harmonis www.slideshare.net

getaran ayunan harmonis bandul periode rumus besaran teras

Gerak Harmonik Sederhana : Pengertian, Rumus Dan Contoh Penyelesaian

Gerak Harmonik Sederhana : Pengertian, Rumus dan Contoh Penyelesaian www.jessipermata.com

gerak harmonik pegas jessipermata rumus

Gerak Harmonik Sederhana : Pengertian, Rumus Dan Contoh Penyelesaian

Gerak Harmonik Sederhana : Pengertian, Rumus dan Contoh Penyelesaian www.jessipermata.com

gerak sederhana harmonik jessipermata rumus pengertian penyelesaian getarannya

Gerak Harmonik Sederhana : Pengertian, Rumus Dan Contoh Penyelesaian

Gerak Harmonik Sederhana : Pengertian, Rumus dan Contoh Penyelesaian www.jessipermata.com

gerak harmonik rumus jessipermata penyelesaian pengertian ayunan pemulih

50 + Contoh Latihan Soal Dan Ulangan Materi Getaran Harmonik Sederhana

50 + Contoh Latihan Soal dan Ulangan Materi Getaran Harmonik Sederhana www.masharist.com

getaran ulangan latihan materi harmonik ghs

Omega Dalam Fisika - World Of Watches

Omega Dalam Fisika - World of Watches duniajampria.blogspot.com

dalam fisika mencari sudut kecepatan melingkar gerak brainly

Getaran Fisika Dan Rumusnya

Getaran Fisika dan Rumusnya rumushitung.com

getaran fisika rumus gerak amplitudo harmonik ghs laju perubahan frekuensi rumusnya jawaban gelombang rumushitung sesaat harmonis bab bandul pegas matematis

Cari refrensi soal dan artikel betul-betul lah sulit. tetapi Kami usaha siapkan Getaran Fisika dan Rumusnya supaya anda lebih suka.

Setelah itu, latihanlah menyikapi pertanyaan serta bab yang sudah disajikan. Anda bahkan bisa saja pengin download gambar masalah yang udah kami suguhkan. Jikalau anda tertarik pada masalah yang lain dapat anda mencari dikolom penelusuran. Paling akhir, apabila anda lagi dalam periode babak evaluasi karenanya saya rekomendasikan untuk belajar lebih giat biar angan-angan anda tergapai. Salam luar biasa hebat. Selesai Anda sudah ketahui contoh serta gambar bab di atas, karenanya saya jamin anda siap buat model pertanyaan ini yang sudah dikasihkan oleh guru, karena itu Anda bisa membela ketenangan dan reliabilitas dalam menjawab bab yang ada. .

Gerak harmonik pegas jessipermata rumus. Gerak harmonik sederhana : pengertian, rumus dan contoh penyelesaian. Kecepatan getaran fisika sudutnya dicari