contoh soal struktur beton bertulang 1 Contoh soal dinamika struktur 1

Selamat datang diwebsite kami, jikan anda sedang mencari contoh soal tentang Contoh Soal Dinamika Struktur Teknik Sipil - Contoh Soal Terbaru maka anda berada dihalaman yang tepat. Sewaktu Anda tengah mengakhiri soal yang ruwet, karenanya pastinya Anda bakal cari contoh soal di internet lantaran itu sangatlah gampang dijawab jikalau ada jawabnya. Dalam session penelusuran itu , Guru Anda akan membuat beberapa soal yang mereka akan sampaikan. Kemungkinan ada beberapa soal yang di utarakan buat Anda dalam soal yang sedikit sulit itu. Ada banyak pertanyaan bisa Anda jawab secara mudah. Akan tetapi, ada peluang sejumlah pertanyaan yang Anda mengaku kalau Anda tak miliki jawabnya atau mungkin tidak mau menjawab. Itu pertanyaan yang Anda takuti. Soal itu dapat berkaitan dengan beberapa feature dalam lansir produk yang baru, waktu acara Ujian seperti UN, UAS dan Test PNS, atau soal yang lain di sejumlah acara yang wajar dikabarkan beberapa waktu terakhir yang disebut tema yang hangat secara pengajaran. Pada kondisi sebagai berikut memberinya jawaban yang pasti serta langsung kemungkinan menimbulkan kerugian Anda dalam berbagai perihal . Sehingga pertanyaan sebetulnya yaitu bagaimana Anda bisa menyikapi dengan bisa mengontrol Untuk Menjawab soal yang sudah diberikan oleh tenaga pendidikan. reliabilitas Anda dan mengesankan penanya. Kami Mempunyai Informasi tentang contoh soal 13.Images about Contoh Soal Dinamika Struktur Teknik Sipil - Contoh Soal Terbaru like Contoh Soal Struktur Beton Bertulang - Defi Soal, Contoh Soal Beton Bertulang and also Contoh Soal Dan Jawaban Struktur Beton 1 - Berbagai Struktur. Baca:

Contoh Soal Dinamika Struktur Teknik Sipil - Contoh Soal Terbaru

Contoh Soal Dinamika Struktur Teknik Sipil - Contoh Soal Terbaru barucontohsoal.blogspot.com

dinamika

Soal Dan Penyelesaian Struktur Beton 2 - Berbagai Struktur

Soal Dan Penyelesaian Struktur Beton 2 - Berbagai Struktur berbagaistruktur.blogspot.com

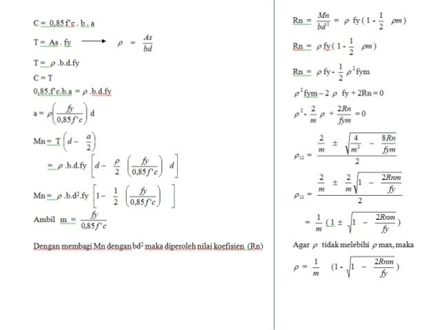
penyelesaian bertulang

PERENCANAAN STRUKTUR BETON BERTULANG TAHAN GEMPA BERDASARKAN SNI 2847

PERENCANAAN STRUKTUR BETON BERTULANG TAHAN GEMPA BERDASARKAN SNI 2847 eprints.umm.ac.id

umm perencanaan bangunan bertulang 2847 tahan gempa kepanjen sumedang

Contoh Soal Dan Jawaban Struktur Beton 1 - Berbagai Struktur

Contoh Soal Dan Jawaban Struktur Beton 1 - Berbagai Struktur berbagaistruktur.blogspot.com

jawaban

Contoh Soal Struktur Beton Bertulang 1 – Berbagai Contoh

Contoh Soal Struktur Beton Bertulang 1 – Berbagai Contoh berbagaicontoh.com

struktur bertulang soal shareinspire

Contoh Soal Dan Jawaban Struktur Beton Bertulang 1 - Berbagi Struktur

Contoh Soal Dan Jawaban Struktur Beton Bertulang 1 - Berbagi Struktur berbagistruktur.blogspot.com

jawaban bertulang penaagakmacet

Contoh Soal Struktur Beton Bertulang - Defi Soal

Contoh Soal Struktur Beton Bertulang - Defi Soal defisoal.blogspot.com

soal bertulang

Contoh Soal Dinamika Struktur 1

contoh soal Dinamika Struktur 1 www.scribd.com

dinamika chopra terjemahan

Contoh Soal Struktur Beton Bertulang 1 - Berbagi Struktur

Contoh Soal Struktur Beton Bertulang 1 - Berbagi Struktur berbagistruktur.blogspot.com

pelat bertulang perencanaan soal arah

Materi Tekhnik Bangunan: PERENCANAAN PLAT LANTAI /ATAP BETON

Materi Tekhnik Bangunan: PERENCANAAN PLAT LANTAI /ATAP BETON ali10wafa.blogspot.com

pelat arah perencanaan sni tulangan atap bangunan materi tekhnik

Struktur Beton Bertulang

Struktur Beton Bertulang www.slideshare.net

bertulang

Contoh Soal Beton Bertulang

Contoh Soal Beton Bertulang www.scribd.com

struktur bertulang soal dinamika tulangan rangkap tunggal

Struktur Beton 1: Tulangan Geser Sengkang Balok

struktur beton 1: Tulangan Geser Sengkang Balok strukturbeton1.blogspot.com

balok tulangan geser sengkang beton struktur buildinghow mekanika reinforcement rebar rumus sipil

Cari refrensi bank soal dan artikel memanglah lah sulit. tetapi Kami usaha siapkan struktur beton 1: Tulangan Geser Sengkang Balok supaya anda lebih puas.

Setelah itu, latihanlah menyikapi pertanyaan dan masalah yang sudah disajikan. Anda bahkan kemungkin ingin mengunduh gambar masalah yang sudah kami berikan. Jika anda tertarik pada masalah yang lain dapat anda mencari dikolom pelacakan. Paling akhir, bila anda tengah dalam periode step evaluasi karena itu saya anjurkan buat belajar lebih giat supaya hasrat anda tergapai. Salam top mengagumkan. Sehabis Anda sudah ketahui contoh serta gambar bab di atas, jadi saya jamin anda siap buat model pertanyaan ini yang udah dikasihkan oleh guru, karena itu Anda bisa membela ketenangan serta reliabilitas dalam menjawab masalah yang ada. .

Penyelesaian bertulang. Struktur bertulang soal shareinspire. Contoh soal struktur beton bertulang 1